Clase 12

 Aplicaciones: Cálculo de Áreas

Habilidades Específicas:

  1. Resolver problemas que involucren ángulos, triángulos, cuadriláteros, sus propiedades y cálculo de áreas.
¡Recordemos juntos!

El área de un triángulo cualquiera se define bajo la siguiente fórmula:


Con los Paralelogramos podemos encontrar algunas relaciones que nos permiten definir fórmulas para determinar el áreas del cuadrilátero. Recordemos algunas de estas:

Rombo:

Romboide: 

Rectángulo: 



Cuadrado:


Trapecio: 


Ahora, observemos la siguiente situación:

Problema:

Ana y Juan, vecinos de Grecia, construyen su casa en un terreno rectangular que mide 25m de largo y 10 m de ancho. Su casa ocupa tres cuartas partes del área de la propiedad. Además, justo en una esquina de la propiedad, construyen una bodega con un área triangular; ambos lados adyacentes al ángulo recto miden 3m. En todo el espacio del terreno no construido, quieren sembrar zacate. La empresa ZAHA (Zacate Hasta Allí), vende el zacate por metros cuadrados con un valor de 1 400 colones por metro cuadrado (incluida la instalación). ¿Cuánta cantidad de zacate (en metros cuadrados) necesitan Ana y Juan para cubrir toda el área del terreno no construido? ¿Cuánto deberán pagar en total por el zacate adquirido?

Este problema nos permite aplicar muchos de los conocimientos que hemos aprendido sobre cuadriláteros y triángulos en contextos reales.

Para la resolución de este problema, debemos recordar la fórmula para calcular el área de rectángulos y triángulos. 

Si no la recuerdas con claridad, 
¡puedes verla más arriba!

RESOLUCIÓN:

Primero calculemos el área del terreno. Su área es rectangular y sus lados miden 10m y 25m.
Entonces: 



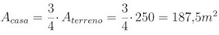
Por consiguiente, el área de la casa debe ser:



Ahora, como el área de la bodega es triangular y los lados que se nos brindan son los adyacentes al ángulo recto, entonces: 



Entonces, el espacio libre para sembrar el zacate debe ser:



Luego, si cada metro cuadrado de zacate vale 1 400 colones, entonces, el total a pagar por los 58 metros cuadrados de zacate es: 


R/ Ana y Juan deben comprar 58 metros cuadrados de zacate y deberán pagar 81 200 colones por todo el zacate adquirido.


No hay comentarios.:

Publicar un comentario